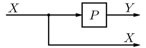
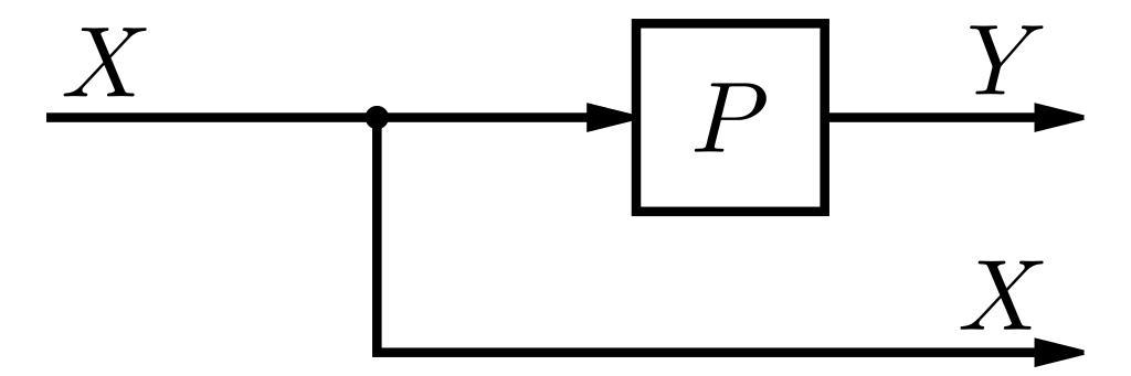
MAKE A MEME View Large Image Moving Takeoff Point beyond Block 1.svg control theory sense showing a combination of summing junctions implementing <math>Y PX</math> Own Inductiveload 2009-03-10 Control theory
View Original:Moving Takeoff Point beyond Block 1.svg (240x80)
Download: Original    Medium    Small Thumb
Courtesy of:commons.wikimedia.org More Like This
Keywords: Moving Takeoff Point beyond Block 1.svg control theory sense showing a combination of summing junctions implementing <math>Y PX</math> Own Inductiveload 2009-03-10 Control theory
Terms of Use   Search of the Day